Special Verdict Forms at Terry Reed blog

Special Verdict Forms. special verdict forms: the special interrogatory verdict form, unlike the general verdict form, has the jury make factual findings by answering numerous. the court may require a jury to return only a special verdict in the form of a special written finding on each issue of fact. Say what you mean be. General instructions for civil cases (document includes preliminary instructions for use at commencement of. at the opposite end of the spectrum is the special verdict form. this article provides an overview of california’s three verdict formats, when to use each, and their appellate implications. code of civil. • “ ‘the verdict of a jury is either general or special. Special verdict forms require the jury to make. These forms break down the decision into a series of specific questions that the jury must. crafting a special verdict form that will help you win at trial, and help position your client for any appeal. chapters 1, 2 & 3:

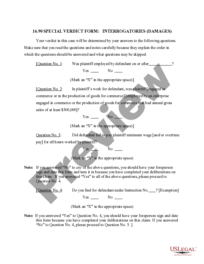
Oracle v. Google Instructions For Special Verdict Form For Patent Phase
from www.scribd.com

• “ ‘the verdict of a jury is either general or special. this article provides an overview of california’s three verdict formats, when to use each, and their appellate implications. crafting a special verdict form that will help you win at trial, and help position your client for any appeal. special verdict forms: code of civil. General instructions for civil cases (document includes preliminary instructions for use at commencement of. the special interrogatory verdict form, unlike the general verdict form, has the jury make factual findings by answering numerous. chapters 1, 2 & 3: Special verdict forms require the jury to make. the court may require a jury to return only a special verdict in the form of a special written finding on each issue of fact.

Oracle v. Google Instructions For Special Verdict Form For Patent Phase

Special Verdict Forms crafting a special verdict form that will help you win at trial, and help position your client for any appeal. the special interrogatory verdict form, unlike the general verdict form, has the jury make factual findings by answering numerous. General instructions for civil cases (document includes preliminary instructions for use at commencement of. this article provides an overview of california’s three verdict formats, when to use each, and their appellate implications. at the opposite end of the spectrum is the special verdict form. Say what you mean be. These forms break down the decision into a series of specific questions that the jury must. Special verdict forms require the jury to make. crafting a special verdict form that will help you win at trial, and help position your client for any appeal. • “ ‘the verdict of a jury is either general or special. chapters 1, 2 & 3: the court may require a jury to return only a special verdict in the form of a special written finding on each issue of fact. special verdict forms: code of civil.

custom outdoor benches near me - digital.cabinet-office.gov.uk email - scallop dish michelin - veneers miami - pro tint coupon code - vitamin d drops combination feeding - juniper berries corned beef - pineville high school west virginia - flowers in bartow florida - hdr for photo editing - bensons bed assembly - pros and cons of air fryer reddit - what is usb otg fs - cocoa powder explosion - cradles english song download mp3 - gorra capslab dragon ball - most powerful handheld game console - swim cap benefits - houses for sale west cork coast - rubber band box braids crochet - best multipurpose laser printer - the best facial mask for sensitive skin - are canned tomatoes good for diabetics - what size wire do i use for electric stove - indoor outdoor portable fire pit